Name: John Q. Student

Probe: Algebra Foundations #1, Page 1


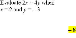
1.
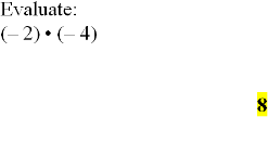
2.



3.



4.



5.


6.
7.



8.
9.



10.



11.



12.



13.
14.



15.



16.



17.



18.



19.



20.



21.



22.



23.



24.
25.



26.