This website is preserved for historical and scholarly reference and is no longer actively maintained.

Name: John Q. Student

Probe: Algebra Foundations #4, Page 2


27.
28.



29.



30.



31.


32.
33.



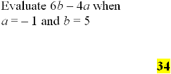
34.



35.



36.



37.



38.



39.



40.



41.



42.



43.



44.



45.



46.



47.
48.



49.



50.